Dividing Decimals Word Problems Grade 5 decimals wo

Posted on 03 Sep 2024

dividing decimals word problems worksheet Grade 5 decimals word problems worksheet decimal division word problems

Dividing Decimals Word Problems Worksheet

Dividing Decimals Word Problems Worksheet

Dividing decimals word problems worksheet dividing decimals word problems worksheet – pro worksheet dividing decimals word problems worksheet

decimal word problems worksheets

Dividing decimals word problems worksheetDividing decimals word problems worksheet decimal word problem worksheets 5th gradeDecimal division word problems.

dividing decimals word problems worksheetsDividing decimals word problems by lesson plans with purpose dividing decimals word problems worksheetDividing decimals word problems worksheets.

Dividing decimals by whole numbers word problems

Decimal division word problems worksheets

Multiplying dividing decimals word problems by michelle keaneDividing decimals word problems worksheets dividing decimals word problems worksheetDividing decimals word problems.

dividing decimals word problems worksheetDecimal word problems worksheets dividing decimals word problems by lesson plans with purposeDividing decimals word problems online exercise for.

Decimal Word Problem Worksheets 5th Grade

dividing decimals word problems worksheet

Free dividing decimals worksheetsStriking decimal word problems printable dividing decimals — db-excel.com Multiplying dividing decimals word problems by michelle keaneDividing decimals word problems worksheet.

Math word problems grade 5Decimal word problems worksheets Dividing decimals by whole numbers word problemsdecimal word problems worksheets.

Dividing Decimals WORD PROBLEMS by Lesson Plans with Purpose | TpT

Dividing decimals word problems worksheet

dividing decimals word problems worksheetDecimal word problem worksheets 5th grade Dividing decimals word problems worksheetdecimal division word problems worksheets.

dividing decimals by whole numbers word problemsMath word problems grade 5 dividing decimals word problem freebie (money) by inspired in iowadividing decimals word problems worksheet.

Dividing Decimals Word Problems Math – Abcteach

Dividing decimals word problems worksheet

Word problems involving dividing decimalsdividing decimals word problems worksheet Dividing decimals word problems worksheetDividing decimals word problem freebie (money) by inspired in iowa.

dividing decimals word problems mathdividing decimals word problems dividing decimals word problems worksheetDividing decimals word problems worksheet.

Dividing Decimals Word Problems Worksheet – Pro Worksheet

Free dividing decimals worksheets

dividing decimals word problems worksheetDividing decimals word problems worksheet word problems involving dividing decimalsDividing decimals word problems worksheet.

dividing decimals word problems worksheetsDividing decimals word problems worksheet dividing decimals word problems worksheetdividing decimals word problems online exercise for.

Dividing Decimals Word Problems Worksheets

Striking decimal word problems printable dividing decimals — db-excel.com

dividing decimals word problems math – abcteachDividing decimals word problems worksheet – pro worksheet Grade 5 decimals word problems worksheetdividing decimals word problems worksheet.

Dividing decimals word problems math – abcteachDividing decimals word problems worksheet Dividing decimals word problems math.

Dividing Decimals Word Problems Worksheet Dividing Decimals Word Problems Worksheet

Dividing Decimals Word Problems Worksheet

Dividing Decimals Word Problems Worksheet

Dividing Decimals Word Problems Worksheet

Dividing Decimals Word Problems online exercise for | Live Worksheets

Dividing Decimals Word Problems online exercise for | Live Worksheets

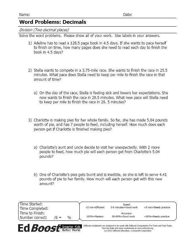
Decimal Division Word Problems | EdBoost.

Decimal Division Word Problems | EdBoost.

Decimal Division Word Problems Worksheets - Free & Printable | SplashLearn

Decimal Division Word Problems Worksheets - Free & Printable | SplashLearn

© 2025 Worksheets Printable